CryoLetters Volume 46 - Issue 6
            
	
	
	
	CryoLetters 46 (6), 355-364 (2025)
		© CryoLetters, editor@cryoletters.org
	doi.org/10.54680/fr25610110112
	
	PERSPECTIVE: Additives to increase the quality of sperm extenders during cryopreservation: a meta-analysis review
	
	R. Parameswari1*, T.B. Sridharan2, P. Madhan Kumar1, R. Babujanarthanam1, K. Kasthuri3 and R. Ganesamoorthy4
	
	
		- Department of Biotechnology, Thiruvalluvar University, Serkkadu, Vellore-632015, Tamil Nadu, India.
- Gene Cloning and Technology Lab, School of Biosciences and Technology, Vellore Institute of Technology, Vellore-632014, India.
- Department of Biochemistry, Meenakshi Medical College & Hospital and Research Institute, Kancheepuram, Tamil Nadu, India.
- Department of Chemistry, Vinayaka Mission’s Kirupananda Variyar Arts and Science College, Vinayaka Mission’s Research Foundation (DU), Salem-636308, Tamil Nadu, India.
*Corresponding author’s E-mail: eashvit@gmail.com
	Abstract
	According to recent statistics, 40-50% of infertile are men have numerous extrinsic factors that play a significant role in boosting ROS, which is hazardous to sperm qualities.  This  meta-analysis study examines which critical and existent additives used in cryopreservation protocols are involved in sperm funtional parameters and counteract the negative impacts of ROS.  We analysed the findings of 521 research papers published on PubMed, Scopus, and in various clinical studies, that investigated the effects of  sperm extenders with different doses and durations at various in vivo and in vitro stages of sperm handling. We found that over 30-50 components were utilized as additives across multiple study trials. The main function of these additives was to reduce DFI/ROS during the freeze/thaw processes while also sustaining sperm motility and viability. The most effective natural antioxidants were found to be vitamins C and E, L-phosphatidyl choline, and an extract of the carob plant, Ceratonia siliqua. Overall, most studies employed Ceratonia siliqua as an additive/extender, resulting in maintained motility and morphology with balanced ROS/DFI levels compared to other extenders. Of the animal-derived compounds, AFP-III was more effective than other stated extenders, exhibiting significant control in semen preservation. Natural additives significantly (p<0.05) increase cell viability and vitality by more than 50-60% compared to commercially available extenders. Although the present trend is to use additives that are naturally sourced and cost-effective, due to their availability and affordability, concerns remain about the shelf-life of Ceratonia siliqua extract and AFP-III for use in  sperm cells freeze/thaw procedures.
	
	Keywords: additives; AFP-III; Ceratonia siliqua; motility; ROS; semen extender; vitamin E.
	 
	
	
 
            
	
	
	
	CryoLetters 46 (6), 365-373 (2025)
		© CryoLetters, editor@cryoletters.org
	doi.org/10.54680/fr25610110312
	
	Developing a cryopreservation protocol for the conservation of coconut palm (Cocos nucifera L.) using a novel type of explant, meristematic clumps
	
	Hannes Wilms1,2*, Natalia Fanega Sleziak1,3 and Bart Panis1,3
	
	
		- KU Leuven, Department of Biosystems, Willem de Croylaan 42, 3001 Heverlee, Belgium.
- INBO, Team Genetische Diversiteit, Gaverstraat 4, 9500 Geraardsbergen, Belgium.
- Bioversity International, Belgian Office, Willem de Croylaan 42, 3001 Heverlee, Belgium.
*Corresponding author’s E-mail: Hannes.wilms@inbo.be
	
	Abstract
	Background
	The coconut palm is a major agricultural crop. The preservation of its genetic diversity is important to allow farmers to adapt to novel circumstances such as climate change, new diseases or consumer demand. However, the tools and methods available to conserve clonal material for the long-term are currently limited.
	
	Objective
	To determine whether a new type of explant, meristematic clumps, resulting from a novel shoot micropropagation method, could be used to cryopreserve coconut clonal material using droplet-vitrification.
	
	Materials and methods
	Whilst applying the droplet-vitrification protocol, different PVS2 treatment times, explant sizes, preculture durations and vitrification solution compositions were applied. After cryopreservation, the explants were rewarmed and checked for survival, proliferation and regeneration.
	
	Results
	Whilst toxic effects of the vitrification solutions were observed, increasing the PVS2 treatment duration to 120 min and even 240 min resulted in around 50% post-cryopreservation survival. However, the post-cryopreservation proliferation percentage was lower, viz. 22% or less. This drop may be partly explained by the blackening of explants that also occurred during normal proliferation.
	
	Conclusion
	A cryopreservation protocol for coconut using this novel type of explant was developed and proved to be promising.
	
	Keywords: coconut; cryopreservation; droplet-vitrification; meristematic clumps; preculture.
	 
	
 
                
            
	
	
	
	CryoLetters 46 (6), 374-381 (2025)
		© CryoLetters, editor@cryoletters.org
	doi.org/10.54680/fr25610110512
	
	The combined method of cryoablation and magnetic hyperthermia for tumor treatment based on a gelatin methacryloyl (GelMA) model
	
	Yulong Li and Baolin Liu*
	
	
		- University of Shanghai for Science and Technology, Shanghai Tumor Energy Therapy Technology and Device Collaborative Innovation Center, Shanghai, 200093, China.
*Corresponding author’s E-mail: blliuk@163.com
	
	Abstract
	Background
	Cryoablation and magnetic hyperthermia are frequently utilized therapies for tumor treatment.
	
	Objective
	To investigate the effect of different cryopreservation temperatures on the preservation of biological activities in human placental extracts and their fractions, with a particular focus on their effects on erythrocyte thermal hemolysis and ADP-induced platelet aggregation.
	
	Methods
	The study used Hep-G2 liver cancer cells to construct a gelatin methacryloyl (GelMA) tumor model. Viscoelastic property of the tumor model was tested, and assessments were performed on cytotoxicity, proliferation, cell survival rates post-treatment, as well as fluorescence imaging. Four therapeutic modalities were applied, including cryoablation, magnetic hyperthermia, cryoablation with nanoparticles, and cryoablation combined with magnetic hyperthermia.
	
	Results
	GelMA gel undergoes no phase transition below 50°C and exhibits good biocompatibility, making it suitable for model construction. Among four therapeutic modalities, the cryoablation with magnetic hyperthermia demonstrated the highest efficacy, with the least cell survival.
	
	Conclusion
	The incorporation of nanoparticles enhances heat transfer and improves the ablation efficacy of cryoablation.
	
	Keywords: cryoablation; magnetic hyperthermia; nanoparticle; tumor treatment.
	 
	
	
 
            
            
	
	
	
	CryoLetters 46 (6), 382-392 (2025)
		© CryoLetters, editor@cryoletters.org
	doi.org/10.54680/fr25610110712
	
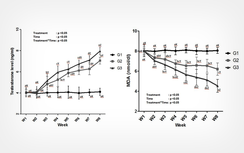
	Role of vitamin E and selenium in enhancing semen freezability and fertility in subfertile bucks
	
	Chetna Gangwar1*, M Arivazhagan2, B. Rai2, N Ramachandran3, Shriprakash Singh1, Anshuman Kumar4, Anil Kumar Mishra2, R. Pourouchottamane2, Pradeep Kumar1 and Omprakash Jajriya1
	
	
		- Uttar Pradesh Pandit Deen Dayal Upadhyaya Pashu Chikitsa Vigyan Vishwavidyalaya Evam Go-Anusandhan Sansthan, Mathura-281001, Uttar Pradesh, India.
- ICAR-CIRG (Central Institute for Research on Goats), Farah-281122, Mathura, Uttar Pradesh, India.
- ICAR-NIANP (National Institute of Animal Nutrition and Physiology), Adugodi, Bangalore, Karnatka, India.
- FVAS (Faculty of Veterinary and Animal Sciences), Banaras Hindu University, Mirzapur-231001, Uttar Pradesh, India.
*Corresponding author’s E-mail: chetna.gangwar@upvetuniv.edu.in
	
	Abstract
	Background
	In the quest for sustainable nutritional security, small ruminants play a crucial role, yet many producers face a common stumbling block: insufficient fertile bucks in their herds. This often results in disappointing production outcomes. A simple yet powerful solution lies in the supplementation with minerals and vitamins, thereby enhancing fertility and ensuring that small ruminant herds thrive and contribute to a more secure and productive agriculture.
	
	Objective
	To determine the effects of vitamin E and Se on semen quality and freezability, antioxidant activity, testosterone level, and fertility of Jakhrana bucks.
	
	Materials and methods
	Eighteen Jakhrana bucks were classified as subfertile bucks based on their semen characters and fertility test. The bucks were randomly allocated into three equal groups and subjected to the following treatments: G1, control; G2, injected with Vit E 250IU/head + Se 0.1 mg/kg body weight.; G3, injected with Vit E 500 IU/head + Se 0.2 mg/kg body weight once weekly for 8 weeks. Semen and blood samples were collected twice weekly for all bucks to assess semen quality and semen was frozen and the post-thaw semen quality parameters (such as progressive motility, viability, abnormality and acrosomal integrity) were evaluated. Serum testosterone level and antioxidant capacity were also measured. At the 8th week of the study, 60 multiparous estrus does (20 does for each group) were exposed for mating to assess the fertility of buck after treatment.
	
	Results
	Fresh and post-thaw semen quality parameters were significantly (p <0.05) higher in G3 in comparison with G2 and G1, respectively. Also, testosterone level was significantly (p <0.05) increased at the 3rd week (W3) in the G2 and G3 groups in comparison with control group. Fertility and kidding rates were significantly (p <0.05) higher in does who were mated with bucks of G3.
	
	Conclusion
	Injection of vitamin E and selenium improved the semen quality parameters and most importantly the fertility of bucks.
	
	
	Keywords: bucks; freezability; fertility; selenium (Se); semen quality; vitamin E.
	 
	
 
            
            
	
	
	
	CryoLetters 46 (6), 393-404 (2025)
		© CryoLetters, editor@cryoletters.org
	doi.org/10.54680/fr25610110212
	
	Cryopreservation of seeds of Citrus indica and Citrus latipes: enhancing post-thaw recovery with sodium nitroprusside and tocopherol
	
	M Wanlambok Sanglyne and Meera Chettri Das*
	
	
		- Department of Botany, North-Eastern Hill University, Shillong- 793022, Meghalaya, India.
*Corresponding author’s E-mail: dasmeera73@gmail.com
	
	Abstract
	Background
	Cryopreservation is a crucial technique for the long-term conservation of endangered plant germplasm. However, desiccation-sensitive seeds, such as those of Citrus indica Yu. Tanaka and Citrus latipes (Swingle) Yu. Tanaka, require optimized dehydration protocols to prevent cryo-injury. Enhancing post-thaw recovery through antioxidant supplementation is a promising approach to mitigate oxidative stress-induced damage.
	
	Objective
	This study aimed to establish an optimized dehydration-based cryopreservation protocol of seeds for C. indica and C. latipes while evaluating the protective effects of sodium nitroprusside (SNP) and tocopherol on post-cryopreservation recovery.
	
	Materials and methods
	Mature seeds of C. indica and C. latipes were subjected to controlled dehydration to moisture contents of 22.7 and 30.1 using a laminar air flow chamber before liquid nitrogen storage. Post-thaw viability was assessed through germination studies, physiological assays (chlorophyll content and malondialdehyde estimation), and biochemical analyses (antioxidant enzyme activities). SNP (0.4 μM) and tocopherol (25 μM) were used as post-cryopreservation supplements to enhance seedling recovery.
	
	Results
	Optimal seed moisture content prior to freezing was 24.9% for C. indica and 32.0% for C. latipes, maximizing post-thaw germination. SNP and tocopherol supplementation significantly reduced lipid peroxidation, improved chlorophyll retention, and enhanced superoxide dismutase, catalase, and peroxidase activities.
	
	Conclusion
	SNP and tocopherol effectively mitigate cryo-induced oxidative stress, improving post-thaw recovery of C. indica and C. latipes seeds. These findings provide critical insights into cryopreservation strategies for conserving endangered citrus germplasm.
	
	
	Keywords: antioxidants; Citrus indica; Citrus latipes; cryopreservation; oxidative stress; seed viability.
	
	 
	
 
            
            
	
	
	
	CryoLetters 46 (6), 405-415 (2025)
		© CryoLetters, editor@cryoletters.org
	doi.org/10.54680/fr25610110412
	
	Effects of DMSO concentration on cryopreservation-induced stress  in keratinocytes
	
	Katarína Čechová1*, Iveta Štibrániová2, Paulína Gálfiová3, Łucja Balcerzak4, Ivan Klbik5, Daniel Kosnáč6, Iveta Waczulíková1 and Libuša Šikurová1
	
	
		- Department of Nuclear Physics and Biophysics, Faculty of Mathematics, Physics, and Informatics, Comenius University, Mlynská dolina F1, 842 48 Bratislava, Slovakia.
- Institute of Virology, BMC, Slovak Academy of Sciences, v.v.i., Dúbravská cesta 9, 845 05 Bratislava, Slovakia.
- Institute of Histology and Embryology, Faculty of Medicine, Comenius University, Sasinkova 4, 811 04 Bratislava, Slovakia.
- Laboratory of Microscopic Imaging and Specialized Biological Techniques, Faculty of Biology and Environmental Protection, University of Łódź, Banacha 12/16, 90-237 Łódź, Poland.
- Institute of Physics, Slovak Academy of Sciences, v.v.i., Dúbravská cesta 9, 845 05 Bratislava, Slovakia.
- Institute of Medical Physics, Biophysics, Informatics and Telemedicine, Faculty of Medicine, Comenius University, Sasinkova 2, 813 72 Bratislava, Slovakia.
*Corresponding author’s E-mail: cechova60@uniba.sk
	
	
	Abstract
	Background
	Despite the widespread use of DMSO for cryopreservation, its concentration-dependent effects on epithelial cells remain insufficiently understood, particularly regarding sublethal stress responses.
	
	Objective
	To investigate how different DMSO concentrations affect cryopreservation-induced stress in human keratinocytes at both structural and functional levels.
	
	Materials and methods
	Keratinocytes were cryopreserved using 1.8%, 2.2%, 5%, and 10% DMSO and stored at −80 °C. Post-thaw viability, proliferation, membrane fluidity, and transmembrane potential were assessed alongside ultrastructural analysis using SEM and TEM.
	
	Results
	Unexpectedly, 5% DMSO preserved optimal ultrastructure and membrane integrity, yet induced persistent hyperpolarization, suggesting latent mitochondrial stress. Although 10% DMSO yielded the highest initial viability (97.9%), it triggered depolarization, nuclear lobulation, and mitochondrial swelling, indicating early onset of oxidative stress. Low concentrations (1.8%, 2.2%) failed to maintain membrane stability, resulting in apoptosis-like morphology and a 50% drop in proliferation. A novel negative correlation (r = −0.84) between DMSO concentration and membrane fluidity was identified, redefining the assumption that higher DMSO always rigidifies membranes.
	
	Conclusion
	This study provides the first evidence that cryopreservation-induced membrane potential shifts occur in a nonlinear, concentration-dependent manner, decoupled from immediate cell survival. The finding that 5% DMSO induces functional stress despite ideal morphology suggests that structural preservation does not equate to cellular homeostasis. These insights challenge current cryopreservation standards and offer a new perspective on balancing cytoprotection with post-thaw functionality in cells. The results highlight the need for next-generation cryoprotective formulations targeting mitochondrial resilience and membrane dynamics.
	
	
	Keywords: cryopreservation; dimethyl sulfoxide (DMSO); keratinocytes; membrane fluidity; morphology; transmembrane potential; ultrastructure; viability.
	